
一 、金属膜对光的本征吸收作用
.png)
.png)
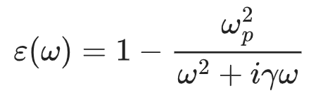
e是电子的电荷,n是电子的密度,ɛ0是真空中的介电常数,m0是电子的质量。
经过相关的数学运算,ɛ(ω)可分解为包含实部ɛ'和虚部ɛ"的形式,实部ɛ'和虚部ɛ"的具体表达式分别为:
.png)
.png)
.png)
.png)
二、介质膜入射角敏感的原因
介质反射膜是建立在多光束干涉基础上的。与增透膜相反,在光学表面上镀折射率高于基体材料的薄膜,就可以增加光学表面的反射率。最简单的多层反射膜是由高、低折射率的两种材料交替蒸镀而成的,每层膜的光学厚度为某一波长(设计波长)的四分之一。假设用nH、tH表示高射率膜层的折射率和厚度;用nL、tL表示低折射率膜层的折射率和厚度;用λ0表示膜系制备的设计波长。可得到如下关系式:nH*tH=λ0/4,nL*tL=λ0/4 (6)
.png)
其中,λc是入射角Өi时反射带的中心波长,ӨH和ӨL是介质中的折射角。根据公式(6)理论可以设计所需波长处高反膜。
将公式(6)代入公式(7),并且根据如下的折射定律公式:
.png)
从空气中入射,n0=1,可以得出
.png)
.png)
三、金属膜反射镜和介质膜反射镜的对比
|
|
介质膜 | 金属膜 |
|---|---|---|
| 反射率 |
|
|
| 主要工作波长 |
|
|
| 材料吸收 |
|
|
| 入射角敏感度 |
|
|
| 硬度 |
|
|
| 膜层厚度 |
|
|












































































































































































































































































电光Q开关.jpg)
































